lunes, 10 de junio de 2019
Post evaluación
Hemos corregido el examen en clase y he sacado un 5. Era más o menos la nota que esperaba. He visto errores que como he dicho en la entrada anterior podría no haber cometido pero bueno, he aprendido de ellos. Y me sirven para mejorar para el examen del miércoles.
domingo, 9 de junio de 2019
Comparando exámenes
Ahora que he hecho el examen tranquilamente en casa y pensando bien las cosas, me ha dado mucha rabia comprobar que el ejercicio 2 sí que le sabía hacer y que solo tenía que saber interpretar mejor el enunciado.
También he sentido impotencia al comprobar fallos tontos del ejercicio 3 y 4 que podría haber hecho bien con más concentración y tranquilidad.
También he sentido impotencia al comprobar fallos tontos del ejercicio 3 y 4 que podría haber hecho bien con más concentración y tranquilidad.
viernes, 7 de junio de 2019
Examen polémico de matematicas de la PAU
He estado viendo el examen que ha creado tanto escándalo de matematicas aplicadas a las ciencias sociales que han puesto para la PAU y no me parece que sea para tanto.
Es verdad que es difícil, pero una vez resuelto como ha hecho el profesor que ha compartido el hilo en Twitter, se ve que han exagerado un poco con esa reacción.
El primer ejercicio era de Gauss, cosa que hemos practicado en primero y supongo que en segundo se entrara más en el tema, con lo cual no creo que sea tanto problema resolver ese ejercicio. Si bien es verdad que igual los valencianos se esperaban un examen más fácil, acostumbrados a que sus exámenes sean sencillos, por lo cual se habran llevado una sorpresa.
Es verdad que es difícil, pero una vez resuelto como ha hecho el profesor que ha compartido el hilo en Twitter, se ve que han exagerado un poco con esa reacción.
El primer ejercicio era de Gauss, cosa que hemos practicado en primero y supongo que en segundo se entrara más en el tema, con lo cual no creo que sea tanto problema resolver ese ejercicio. Si bien es verdad que igual los valencianos se esperaban un examen más fácil, acostumbrados a que sus exámenes sean sencillos, por lo cual se habran llevado una sorpresa.
miércoles, 5 de junio de 2019
Preevaluacion
Este examen no me ha salido mal.
El ejercicio 1 yo creo que le tengo perfecto, me ha salido muy fácil porque lo había practicado mucho.
El 2 no he sabido hacerle, he intentado cogerlo por todos los lados incluso hasta he llegado a pensar que podía ser una binomial, pero finalmente no lo he sabido abordar.
El ejercicio 3 creo que está perfecto tambien, ya que también había practicado mucho los ejercicios de tabla.
El 4 no lo tengo bien entero porque me he empezado a liar con el diagrama de arbol y luego al hacer la Unión de las probabilidades me daban números raros.
Y el ejercicio 5 está casi bien, es decir, mitad y mitad yo creo, porque en casa habia aprendido a usar la calculadora y por eso lo he sabido a hacer, pero es que hay algunos valores que mi calculadora no sabe calcular, entonces esa parte está incompleta.
Pero en general estoy contenta, aunque podría haber salido mejor y me hubiera gustado que entrara algún problema de distribución binomial aproximada a la normal para haber podido aplicar Yates.
El ejercicio 1 yo creo que le tengo perfecto, me ha salido muy fácil porque lo había practicado mucho.
El 2 no he sabido hacerle, he intentado cogerlo por todos los lados incluso hasta he llegado a pensar que podía ser una binomial, pero finalmente no lo he sabido abordar.
El ejercicio 3 creo que está perfecto tambien, ya que también había practicado mucho los ejercicios de tabla.
El 4 no lo tengo bien entero porque me he empezado a liar con el diagrama de arbol y luego al hacer la Unión de las probabilidades me daban números raros.
Y el ejercicio 5 está casi bien, es decir, mitad y mitad yo creo, porque en casa habia aprendido a usar la calculadora y por eso lo he sabido a hacer, pero es que hay algunos valores que mi calculadora no sabe calcular, entonces esa parte está incompleta.
Pero en general estoy contenta, aunque podría haber salido mejor y me hubiera gustado que entrara algún problema de distribución binomial aproximada a la normal para haber podido aplicar Yates.
martes, 4 de junio de 2019
domingo, 2 de junio de 2019
martes, 28 de mayo de 2019
martes, 30 de abril de 2019
Evaluación examen funciones
En este examen he sacado un 3,75. A la hora de ver el examen corregido y repasarlo yo luego sola tranquilamente, me he ido dando cuenta de que no era tan difícil y que podría haber sacado mas cosas.
Abandone el ejercicio dos porque le dedique más tiempo al 1 y al 3, y me hubiera gustado más tiempo para intentarlo.
Para el próximo estudiaré aún más, pero no estoy deprimida ni nada por la nota, porque la verdad es que he aprendido a hacer bastantes cosas que antes no sabía.
Abandone el ejercicio dos porque le dedique más tiempo al 1 y al 3, y me hubiera gustado más tiempo para intentarlo.
Para el próximo estudiaré aún más, pero no estoy deprimida ni nada por la nota, porque la verdad es que he aprendido a hacer bastantes cosas que antes no sabía.
miércoles, 24 de abril de 2019
Autoevaluación examen funciones
Este examen me ha salido mejor que el anterior.
El primer ejercicio lo he hecho bien yo creo, excepto el segundo apartado que lo he dejado para el final y luego no me ha dado tiempo ha hacerlo.
El segundo era de optimización y tambien lo he dejado lo último porque me parecia lo más difícil y finalmente no lo he abordado.
El tercer ejercicio, el de un estudio completa de una función me ha salido bastante bien. No me ha dado tiempo a completar el estudio pero he llegado escasamente a mencionar cuando era concava y, cuando convexa.
Ojalá hubiera tenido más tiempo para mirar los ejercicios con más precisión y dedicación, pero aún así no me ha salido del todo mal, y aunque dudo aprobar, creo que he aprendido bastante a la hora de prepararme para este examen.
martes, 23 de abril de 2019
miércoles, 17 de abril de 2019
El voto, la importancia de cuidar la democracia
Si yo tuviera 18 años y pudiera votar, lo primero que haría sería leerme todos los programas electorales de los partidos, cosa que he hecho igualmente porque me interesa. Lo segundo sería informarme bien de qué propone cada uno, pero sabiendo que hay fuentes falsas y muchos bulos circulando por Internet. Iria a escucharles en persona si es posible, a oirles hablar, escuchar sus propuestas. Pero lo que haría seguro es votar, porque sé que como ciudadanos tenemos el deber, o la responsabilidad de participar en la democracia, de crear dicha democracia y cuidarla, ya que tanto nos ha costado conseguirla.
Personalmente, yo votaría a algún partido que velara por los intereses del pueblo, que buscara la solidaridad, que no antepusiera los intereses económicos a los de las personas, que fuese ético, feminista, que creyese en la igualdad, que asegurara que todas las personas van a poder tener derecho a la sanidad y a la educación, que no violara los derechos de ningun colectivo, ni de ninguna raza o color.
¿Es posible estar totalmente de acuerdo con un partido? No lo creo, pero muchas veces hay que visualizarlo de un modo más amplio, sabiendo que votar con sentido común es la única forma de participar en la democracia y de evitar que asciendan al poder partidos extremistas y con falta de valores éticos.
Siempre ha sido más facil mover masas que personas críticas. Es decir, ciertos partidos populistas tratan a las personas como si fueran rebaños de ovejas, diciéndoles justo lo que quieren oir, prometiendo cosas que luego no van a cumplir, haciéndoles sentir parte de un movimiento nuevo, de un movimiento distinto a los demás, haciéndoles sentir especiales y superiores a los demás por el hecho de ser españoles, haciéndoles creer que por ese mismo hecho tienen más derecho que el resto de personas, con adornos y símbolos, con banderas y meras palabras sin contenido atraen a las personas que no son críticas, que no se paran a pensar un momento a la hora de tomar una decisión tan importante como es votar, ya que se creen, o se quieren creer aquello que se les cuenta.
Este hecho se ha repetido durante toda la historia, solo que yo creo que hoy en día la población tiene aún menos capacidad crítica que antes. Me explico, en el pasado los partidos radicales surgían debido a crisis económicas, inestabilidad política, miedo a extremos; y hoy en día es verdad que económicamente no estamos muy bien, al igual que políticamente, pero se une el factor de que los jóvenes se dejan llevar por exaltaciones símbolicas y las ganas de sentirse unidos a un nuevo movimiento, aún sabiendo la repercusión que los extremos han tenido en la historia y lo que estos han conllevado, así que esto tiene más delito todavía.
Cada uno es libre de votar lo que quiera, pero esta libertad debería estar también marcada por una responsabilidad social, de una conciencia por parte de jóvenes y mayores, porque si bien es verdad que todos tenemos derecho a participar en la democracia, es más, debemos hacerlo, tambien es verdad que para participar en ella tendremos que tener en cuenta que tomando ciertas decisiones podemos también romperla.
Personalmente, yo votaría a algún partido que velara por los intereses del pueblo, que buscara la solidaridad, que no antepusiera los intereses económicos a los de las personas, que fuese ético, feminista, que creyese en la igualdad, que asegurara que todas las personas van a poder tener derecho a la sanidad y a la educación, que no violara los derechos de ningun colectivo, ni de ninguna raza o color.
¿Es posible estar totalmente de acuerdo con un partido? No lo creo, pero muchas veces hay que visualizarlo de un modo más amplio, sabiendo que votar con sentido común es la única forma de participar en la democracia y de evitar que asciendan al poder partidos extremistas y con falta de valores éticos.
Siempre ha sido más facil mover masas que personas críticas. Es decir, ciertos partidos populistas tratan a las personas como si fueran rebaños de ovejas, diciéndoles justo lo que quieren oir, prometiendo cosas que luego no van a cumplir, haciéndoles sentir parte de un movimiento nuevo, de un movimiento distinto a los demás, haciéndoles sentir especiales y superiores a los demás por el hecho de ser españoles, haciéndoles creer que por ese mismo hecho tienen más derecho que el resto de personas, con adornos y símbolos, con banderas y meras palabras sin contenido atraen a las personas que no son críticas, que no se paran a pensar un momento a la hora de tomar una decisión tan importante como es votar, ya que se creen, o se quieren creer aquello que se les cuenta.
Este hecho se ha repetido durante toda la historia, solo que yo creo que hoy en día la población tiene aún menos capacidad crítica que antes. Me explico, en el pasado los partidos radicales surgían debido a crisis económicas, inestabilidad política, miedo a extremos; y hoy en día es verdad que económicamente no estamos muy bien, al igual que políticamente, pero se une el factor de que los jóvenes se dejan llevar por exaltaciones símbolicas y las ganas de sentirse unidos a un nuevo movimiento, aún sabiendo la repercusión que los extremos han tenido en la historia y lo que estos han conllevado, así que esto tiene más delito todavía.
Cada uno es libre de votar lo que quiera, pero esta libertad debería estar también marcada por una responsabilidad social, de una conciencia por parte de jóvenes y mayores, porque si bien es verdad que todos tenemos derecho a participar en la democracia, es más, debemos hacerlo, tambien es verdad que para participar en ella tendremos que tener en cuenta que tomando ciertas decisiones podemos también romperla.
martes, 16 de abril de 2019
domingo, 7 de abril de 2019
miércoles, 3 de abril de 2019
Autoevaluación exámen derivadas
He tenido problemas con la aplicación de Wiris, porque no he conseguido manejarla, y por consiguiente no he podido comprobar mis derivadas.
Pero si que he estado comparando los resultados con mis compañeros, y además mirando las fórmulas y viendo si estaban bien aplicadas, y creo que el examen me ha salido muy bien, de lo cual me alegro ya que me lo había preparado mucho.
Creo que no he fallado en ninguna, y si he fallado habrá sido algún error tonto, que ya se que te anula el punto, así que espero no haber cometido ninguno.
martes, 2 de abril de 2019
domingo, 31 de marzo de 2019
sábado, 30 de marzo de 2019
viernes, 29 de marzo de 2019
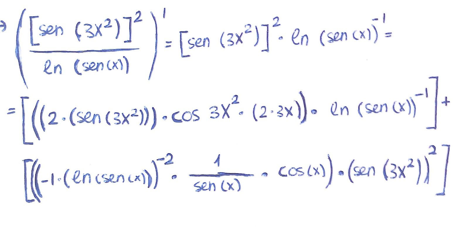
Forma más facil de derivadas
Antes creía que la forma más fácil de resolver derivadas compuestas y de cociente era aplicando la parte teórica, pero ahora he visto en clase que la forma más fácil es aplicando la fórmula y me he dado cuenta al hacer una derivada d las dos formas posibles y comparar que esta era la más facil:
jueves, 28 de marzo de 2019
sábado, 23 de marzo de 2019
lunes, 18 de marzo de 2019
Limite funcional
Este era el límite que no me salía porque me faltaba multiplicar también lo de arriba por el conjugado.
domingo, 17 de marzo de 2019
Suscribirse a:
Comentarios (Atom)




















































